Moisture is essential for maintaining the quality and freshness of food. Adequate moisture levels preserve the texture and flavor, making it a constant challenge for food manufacturers to combat dryness. The solution? TREHA™, the moisture master.
TREHA™, the Moisture Master
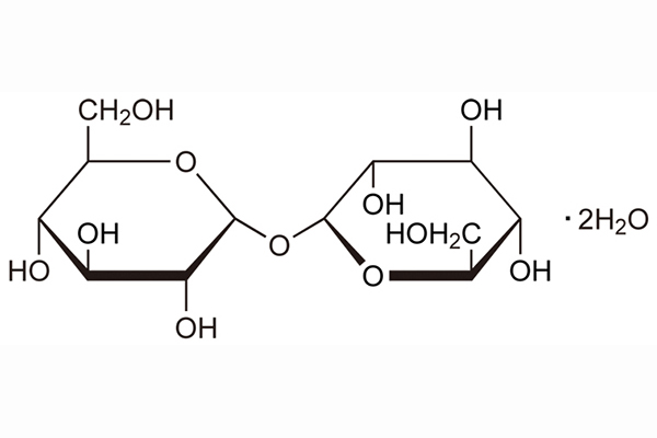
A Disaccharide With High Moisture Retention Ability
TREHA™ is a brand name of trehalose, a disaccharide with excellent moisture retention ability with unique molecular structure. Though it’s a sugar (it looks almost exactly like regular table sugar) and is similar in many ways to other sugars such as sucrose and maltose, TREHA™ is uniquely effective in promoting moisture retention, enabling it to protect foods from drying out.

Where Does It Come From?
Trehalose is not a rare sugar, it is universally present around us in large quantities. It has been confirmed that trehalose is found in most edible mushrooms and contributes to the ability to reconstitute dried shiitake mushrooms. That’s why it is also referred to as mushroom sugar. Since trehalose is found in marine plants such as ‘hijiki’ seaweed, it is also called seaweed sugar in China.
In fact, trehalose is found in dry yeast, accounting for 12% by dry weight of baker’s yeast. For this reason, dry yeast can be preserved in a dried state without losing fermentative activity. Fermented products including beer and wine contain trehalose. We consume trehalose in our daily lives without even thinking about it.

Why Moisture Matters
Moisture plays an important role in food quality.
Texture: Moisture helps maintain the desired texture of foods, keeping them from becoming dry or stale.
Shelf-life: Foods can stay fresh longer with adequate moisture. Managing moisture effectively leads to reduced food waste and improved consumer satisfaction.
Flavor: Proper moisture levels help keep the flavors vibrant and true to their original taste, as some flavor components rely on maintaining the correct amount of moisture.

Common Challenges Related to Moisture in the Food Industry
TREHA™- the Moisture Master, Get in on the Secret.
TREHA™ is a Japanese trade secret used in hundreds of Asian foods for decades. It is high purity trehalose (98%)—a plant-based, GRAS-designated, Kosher & Halal-certified, non-GMO* food ingredient with the amazing natural ability to maintain moisture with a much lower sweetness compared to table sugar.
*TREHA™ distributed in the US and Canada is a Non-GMO Project verified product.
How it Maintains Moisture in Food
The trehalose molecule has a characteristic structure with high affinity to water. When formulated into recipes, it helps retain moisture inside food. Here are some examples of moisture retention in the real world - texture, softness, and quality are closely related to moisture in food. See how TREHA™ contributes to food quality in various applications!

Reducing Food Waste - We Hold the Future of the Planet in Our Hands
Food waste is a significant global issue with far-reaching consequences for food, the economy, and the environment. Despite the vast amount of food wasted every year, more than 700 million people on the planet are still hungry. Reducing food waste can lead to alleviating food insecurity and environmental damage in the world, and improve food accessibility by reducing costs.
For further information for TREHA™ for culinary use, visit our dedicated website for food services.
Contact us for Further Information
We are open to your inquiries anytime. If you have issues with moisture management of food or require our consultation, please click "contact us" button to get in touch with us.

Creating Solutions for You
Nagase Food Ingredients is a team of specialists within the Nagase Group, dedicated to food ingredients. Leveraging extensive knowledge in glycoscience and a passion for food, we create customized solutions to help you overcome challenges in food manufacturing.
TREHA™ is the product name of high-purity trehalose manufactured by Nagase Viita Co., Ltd., a member of our group. We ensure a stable supply chain that spans the globe. If you are interested in TREHA™ or need assistance with food production or application, please contact us today.

